Gerry Rassias

Research Group

We are a research group based in Patras, Greece.

About

Gerry Rassias

Gerry Rassias

Gerry Rassias

Associate Professor of Organic Chemistry

Gerry Rassias graduated with a First Class Chemistry degree (BSc Hons) from the University of Liverpool in 1995 and 2nd in the overall ranking of his class. He then started his doctoral research at the same institute under the supervision of Prof. Phil C. P. Page and with a studentship by Glaxo-Wellcome on “New systems for catalytic asymmetric epoxidation” using iminium salt-organocatalysts. He concluded his doctorate work at Loughborough University in 1998 due to the appointment of Prof. Phil C. P. Page as Head of Organic Chemistry at the corresponding Chemistry Department. Gerry also conducted his first post-doctoral appointment with Prof. Phil C. P. Page during which he worked towards the total synthesis of lactacystin and novel chiral ligands for palladium-catalysed asymmetric transformations; this work led to the title of "Chartered Chemist" by the Royal Society of Chemistry. In January 2000 Gerry joined the Hellenic Army for the mandate military service and was honourably discharged with the rank of lietenant in December 2001. In January 2002 he joined the group of Prof. K. C. Nicolaou at The Scripps Research Institute, La Jolla, USA as a postdoctoral researched with a fellowship from the Skaggs foundation. There, he worked on the total synthesis of diazonamide A and analogues of epothilone B until he joined the Synthetic Chemistry department of Chemical Development at GSK, Stevenage, UK in April 2003. For the almost 10 years that followed Gerry worked on a number of GSK projects for which he was honoured with nine Reward & Recognition Awards, including two Gold, as well as with three Exceptional Science Awards. More importantly, Gerry was the lead chemist in the chemical development of Trametinib dimethyl sulfoxide for the treatment of melanoma and also authored part of the file. Trametinib (commercial brand Mekinist) was recently approved by the FDA. In October 2012 Gerry joined the Chemistry Department of the University of Patras where he now is an Associate Professor of Organic Chemistry. During the past ten years in the department of Chemistry, Gerry has supervised over 80 students and research projects, spanning all levels (43 undergraduate, 40 MSc, 7 PhD). Since 2018 Gerry has been elected President of the Drugs and Cosmetics Division of the Union of Hellenic Chemists (the professional body of Chemists in Greece) and Member of the National Assembly of Representatives.

Education and Training

  • 1992-1995

    University of Liverpool, UK

    BSc(Hons) First Class in Chemistry. Awarded the Ellard-Woolcotte prize for distinguished academic performance.
  • 1995-1999

    Loughborough University, UK

    Doctor of Philosophy (PhD). The research project was a CASE scholarship from Glaxo-Wellcome on New Systems for Catalytic Asymmetric Epoxidation.
  • 1999-2000

    Loughborough University, UK

    Post-doctoral fellow with a fellowship from the Leverhume Trust under the supervision of Prof. P.C.B. Page.
  • 2000-2002

    Greece

    Military service in the Hellenic Army. Platoon commander and instructor in anti-tank warfare; honorably discharged with the rank of lieutenant.
  • 2002-2003

    San Diego, USA

    Post-doctoral fellow at The Scripps Research Institute, with a fellowship from the Skaggs Foundation under the guidance of Prof. K.C. Nicolaou.

Professional Experience

  • 2003-2012

    Stevenage, UK

    Investigator/Lead Chemist, Synthetic Chemistry, GlaxoSmithKline R&D
  • 2012-2022

    University of Patras, Greece

    Assistant Professor, Department of Chemistry
  • 2022-present

    University of Patras, Greece

    Associate Professor, Department of Chemistry
G. Rassias Research Group

Services

G. Rassias Research Group

Our laboratory is an accredited Service Provider Unit (ΜΟΠΥ) on behalf of the ELKE - University of Patras

  • Custom Synthesis
    On request, preparation of Drug Substances (APIs), Drug Candidates, Impurities, Metabolites, Intermediates, Ligands/Catalysts, Natural Products and Derivatives thereof

  • Medicinal Chemistry
    Synthesis of Molecular Libraries
    SAR studies
    Determination of logP/D, solubility

  • Process development
    Improvement of Established / Development of Novel Synthetic Routes
    Feasibility, Optimisation and Scale up studies
    Credibility - Reproducibility-Robustness checks on developed/published/patented routes
    Cost and Environmental Viability Assessment

  • API development
    Investigation of Salt Versions and Polymorphs
    HPLC method development

  • Consultancy services
    Synthetic chemistry, process development, Impurities, Risk Assessment
    CMC and QbD,
    Intellectual Property
    Research Project Management

G. Rassias Research Group

Current Members

Surname Name BSc MSc PhD Presently
Kiousis Dimitrios MSc PhD 4th year PhD, writing up PhD Thesis
Ganas Andreas MSc PhD 4th year PhD, writing up PhD Thesis
Zgouleta Ioanna BSc PhD 4th year PhD
Moschopoulou Anastasia BSc MSc Writing up Thesis
Aggelopoulos Panayiotis BSc MSc Writing up Thesis
Vasilakis Efstathios BSc MSc 2nd year
Tolis Giannis BSc MSc 2nd year
Mpourlouka Maria BSc MSc 2nd year
Dionysatos Spyridon BSc MSc 2nd year
Mprakatselos Nikolaos   MSc   2nd year
Hachadakis Stylianos   MSc   2nd year
TsakirisIoannis-Michael   MSc   2nd year
Katsigianni Konstantina BSc MSc 1st year
KatsoulieriMaria BSc MSc   1st year
ThanopoulouAnastasia BSc MSc   1st year
PittasAlexandros BSc MSc   1st year
Papa Stella BSc MSc   1st year
Karapa Eleana BSc MSc   1st year
Fragkopoulos Athansasios MSc   1st year
Georgopoulos Panagiotis BSc  
Hagvick Spyridon BSc  
Lazari Maria BSc  
Prapa Dimitra BSc  


Alumni

Surname Name BSc MSc PhD Presently
Afratis Konstantinos MSc PhD University of Oxford, UK - Postdoc, NIH, USA
Aggelatou Anastasia BSc Pharmapath, GR
Canco Alexandros BSc MSc PhD Dimokritos, Pharmathen, GR
Chatzinaki Tereza BSc Private Sector, GR
Chronopoulou Elpiniki BSc MSc WinMedica
Eftsratiou Margarita BSc MSc Verma Drugs, Pharmathen, GR
Ferikoglou Spyridon BSc MSc PhD, University of Athens
Fotinaki Maria BSc Cadmion Analytical Laboratory, Teaching
Georgiou Maria BSc MSc, PhD Pharmacy, University of Athens
Georgiou Xenios MSc Medochemie (Cyprus); PharOS Pharma (Malta)
Georgopoulou Marita MSc PhD University of Basel, Switzerland
Giannikopoulou Chrysa BSc MSc FAMAR Pharma
Giannioti Despoina BSc MSc Vianex S.A. Pharma
Giannopoulos Dimitrios BSc MSc, PhD University of Athens
Gournas Konstantinos BSc MSc Advent, GR - QualiMetriX SA, GR
HountasAntonis BSc     Military Service
Kakkava Margarita BSc MSc University of Gent, Belgium
Kalamatianou Apollina BSc MSc PSL Université Paris, PhD Chimie Paris Tech, France
Kallitsis Konstantinos BSc PhD Univ. of Bordeaux, Post Doc Univ. of Cambridge
Kalyva Georgia BSc MSc CBL/Pharmathen
Kaplanai Antzy BSc MSc PhD University of Athens
Karadimas Nikolaos-Michael BSc MSc PhD Candidate
Karagiannakou Marianna BSc MSc University of Athens, Pharmathen
Karampatsis Vasilios BSc MSc Private Sector
Karygianni Myrto BSc Sanofi, UK
Kaziales Anna BSc MSc PhD University of Munich, Roche, Germany
Kourakos Anastasios MSc NanoPhos, GR
Koutiva Maria BSc MSc PhD at Technische Universität Braunschweig
Koutroumani Eleftheria BSc MSc PhD candidate at Open University
Leonardi Sofia BSc QualiMetriX SA, GR
Mentis Nikolaos BSc MSc   PhD Candidate
Moschona Fotini BSc MSc PhD Postdoc in Rassias Group, CBL
Moutsopoulou Evangelia BSc Papoutsanis, GR
Mpalikos Konstantinos MSc CBL Patras, Pharmathen, GR
MparoutakisGeorgios BSc     Military Service
Mpekiaris Giorgos MSc Advent, Labomed, GR
Mpirli Eleni MSc PhD University of Nottingham, Cellomatics Biosciences UK
Mpitzekou Angelo BSc MSc Military Service
Mysirlaki Christina BSc MSc QualiMetriX SA, GR
Nigianni Georgia BSc MSc PhD NIR, Athens
Nikolopoulos Giorgos BSc Pharmathen, GR
Nikolopoulou Athina BSc MSc UoP
Ntinapogias Theodoros BSc Pharmathen, GR
Paraschiakou Eleni MSc Rontis, Kleva, Boringher Ingleheim, GR
Polyzos Nikolaos BSc MSc Private sector
Psathogiannakis Nikolaos BSc MSc Pharmacy, UoP
Psefteli Chrysavgi MSc CBL/Pharmathen
Rigopoulou Dionysia BSc GlaxoSmithKline, UK
Rokopoulos Nikolaos BSc MSc Pro-RAD Custom Synthesis, GR
Sakellaropoulos Vasilios BSc MSc, Liverpool John Moores University, UK
Salapatas Leonidas MSc PhD Candidate
Savvopoulou Ioanna PhD POLY-CHEM GmbH, Project Leader, Germany
Spiliotopoulou Dimitra BSc BSc Pharmacy, UoP
Spyropoulou Christina MSc Falireas Medical Centre
Takis Theodoros BSc MSc Military Service
Thanas Christina MSc PhD University of Lausanne, Switzerland, ANFARM GR
Theodosopoulou Dimitra BSc MSc PhD University of Rennes, Postdoc Univ. of Caen, France
Tsitopoulou Maria BSc MSc PhD University of Basel, Switzerland
TsitouraKonstantina BSc     MSc. Department of Pharmacy, Univ. of Patras
Tzoumanikas Christos MSc PhD Secondary education teacher
Vachlioti Eleanna MSc PhD Hellenic Accreditation System (Ε.ΣΥ.Δ. / ESYD)
Vagena Athena BSc MSc ELPEN, Pharmathen
Vasalaki Georgia BSc Private Sector, GR
Voutyra Stephania BSc MSc Pharmathen
Zogali Vasiliki MSc PhD Advent, GR
G. Rassias Research Group
  • 01

    A New System for Catalytic Asymmetric Epoxidation Using Iminium Salt Catalysts

    Page, P. C. B.;* Rassias, G. A.; Bethell, D.; Schilling, M. B.

    A New System for Catalytic Asymmetric Epoxidation Using Iminium Salt Catalysts

    Page, P. C. B.;* Rassias, G. A.; Bethell, D.; Schilling, M. B.

    J. Org. Chem. 1998, 63 (8), 2774-2777

    DOI : https://doi.org/10.1021/jo972289h

    The existence of oxaziridinium salts as reactive intermediates was first shown in 1976. It was not until 1993 however, that Hanquet and Lusinchi showed that a enantiomerically pure oxaziridinium salt, prepared in five steps from norephedrine, may be used to achieve catalytic asymmetric epoxidation of alkenes by Oxone, for example of trans-stilbene with 33% ee. This work demonstates that iminium salts also formally derived from a dihydroisoquinoline and a primary amine, but chiral at the exocyclic nitrogen substituent, may be used to achieve catalytic asymmetric epoxidation of alkenes by Oxone. We have thus far achieved ees of up to 73% and good yields in very clean reactions carried out at 0 °C or at room temperature over ca. 45 min in the presence of as little as 0.3 mol % of catalyst.

  • 02

    Asymmetric oxidation mediated by imines and iminium salts

    Page, P. C. B.;* Bethell, D.; Rassias, G. A.; Heer, J. P.

    Asymmetric oxidation mediated by imines and iminium salts

    Page, P. C. B.;* Bethell, D.; Rassias, G. A.; Heer, J. P.

    Reactivity, 1999, 14

    DOI : https://doi.org/10.1021/jo010258n

    Στο άρθρο αυτό περιγράφεται η ανάπτυξη οργανοκαταλυτών για την ασύμμετρη οξείδωση σουλφιδίων και αλκενίων. Η καταλυτική ασύμμετρη σουλφοξείδωση επιτυγχάνεται μέσω οξαζιριδινών, οι οποίες σχηματίζονται από τις αντίστοιχες οπτικά ενεργές ιμίνες παρουσία όξινου υπερθειικού καλίου. Η χρήση υπεροξειδίου του υδρογόνου ως οξειδωτικού μέσου, οδηγεί στην προσθήκη του στο ιμινικό δεσμό και σχηματισμό της αντίστοιχης υπεροξυαμίνης, η οποία επίσης προκαλεί σουλφοξείδωση. Γενικά, οι οξαζιριδίνες επάγουν υψηλότερη εναντιοεκλεκτικότητα στην ασύμμετρη σουλφοξείδωση από τις αντίστοιχες υπεροξειδοϊμίνες. Το βέλτιστο ιμινιακό/οχαζιριδινιακό καταλυτικό σύστημα που περιγράφεται για την ασύμμετρη σουλφοξείδωση, βασίζεται στο τερπένιο της καμφοράς, με το οποίο επιτυγχάνονται εναντιομερικές περίσσειες της τάξης του 99% ee.

  • 03

    New systems for catalytic asymmetric epoxidation

    Page, P. C. B.;* Rassias, G. A.; Bethell, D.

    New systems for catalytic asymmetric epoxidation

    Page, P. C. B.;* Rassias, G. A.; Bethell, D.

    Book of Abstracts, 218th ACS National Meeting, New Orleans, Aug. 22-26, 1999

    Περιγράφεται η εφαρμογή συγκεκριμένου τύπου ιμινικών αλάτων ως καταλύτες για την ασύμμετρη εποξείδωση απλών αλκενίων χρησιμοποιώντας το Oxone® ως το οξειδωτικό μέσο. Η σύνθεση των ιμινικών αλάτων επιτυγχάνεται σε δύο (2) μόλις συνθετικά βήματα και λειτουργεί επιτυχώς σε κλίμακα εκατοντάδων γραμμαρίων χωρίς χρωματογραφικό καθαρισμό. Η συντομία της σύνθεσης, επέτρεψε, σε πρώτη φάση, την παρασκευή δέκα (10) καταλυτών πρώτης γενεάς καθώς και τη σύγκριση αυτών ως προς την απόδοση και την εναντιοεκλεκτικότητα που επάγουν στην καταλυτική ασύμμετρη εποξείδωση. Από αυτή τη κατηγορία καταλυτών ξεχώρισε ένα ιμινικό άλας βασισμένο στο τερπένιο του πινενίου, δίνοντας εναντιομερικές περίσσειες της τάξης του 40%. Η μέθοδος είναι απλή, γρήγορη, λειτουργεί υπό ήπιες συνθήκες με φθηνά υλικά πού δεν επιβαρύνουν το περιβάλλον. Επίσης, δεν παρατηρείται απώλεια στερεοχημείας στα προϊόντα όπως συμβαίνει σε άλλες μεθόδους εποξείδωσης (Jacobsen). Τα ενθαρρυντικά αποτελέσματα αποτέλεσαν τη βάση για το σχεδιασμό και τη σύνθεση της επόμενης γενεάς καταλυτών και τη θεμελίωση της μεθόδου ως μία από τις καλύτερες στο είδος της.

  • 04

    The Reductive Cleavage of Cyclic Aminol Ethers to N,N-Dialkylaminoderivatives: Modifications to the Eschweiler-Clarke Procedure

    Page, P. C. B.;* Heaney, H.; Rassias, G. A.; Reignier, S.; Sampler, E. P.; Talib, S.

    The Reductive Cleavage of Cyclic Aminol Ethers to N,N-Dialkylaminoderivatives: Modifications to the Eschweiler-Clarke Procedure

    Page, P. C. B.;* Heaney, H.; Rassias, G. A.; Reignier, S.; Sampler, E. P.; Talib, S.

    Synlett 2000, (1), 104-106.

    DOI : http://dx.doi.org/10.1002/chin.200017041

    The reductive cleavage of cyclic aminol ethers to give N-alkylamino-derivatives in very high yields can be achieved using chlorotrimethylsilane in the presence of sodium cyanoborohydride: in the case of cyclic aminol ethers derived from formaldehyde the Eschweiler-Clarke reaction can be carried out in formic acid heated under reflux in the absence of formaldehyde.

    aminol ethers - chiral heterocycles - chlorotrimethylsilane - reductive ring opening - sodium cyanoborohydride

  • 05

    The first successful use of simple 1,2-aminothioethers as hybrid ligands in the palladium-catalyzed asymmetric allylic substitution reaction

    Rassias, G. A.; Page, P. C. B.;* Reignier, S.; Christie, S. D. R.

    The first successful use of simple 1,2-aminothioethers as hybrid ligands in the palladium-catalyzed asymmetric allylic substitution reaction

    Rassias, G. A.; Page, P. C. B.;* Reignier, S.; Christie, S. D. R.

    Synlett 2000, (3), 379-381

    DOI : http://dx.doi.org/10.1002/chin.200025100

    Hybrid sulfide-tertiary amine ligands incorporating 1,2-aminothioethers have been prepared and used successfully in the palladium-catalysed asymmetric allylic substitution reaction for the first time.

    ligands - palladium - asymmetric synthesis - aminothioethers

  • 06

    Dihydroisoquinolinium salts: catalysts for asymmetric epoxidation

    Page, P. C. B.;* Rassias, G. A.; Barros, D.; Bethell, D.; Schilling, M. B.

    Dihydroisoquinolinium salts: catalysts for asymmetric epoxidation

    Page, P. C. B.;* Rassias, G. A.; Barros, D.; Bethell, D.; Schilling, M. B.

    J. Chem. Soc. Perkin 1, 2000, (19), 3325-3334

    DOI : https://doi.org/10.1039/B002156N

    A range of dihydroisoquinolinium salts has been prepared and tested as asymmetric epoxidation catalysts in an investigation of the reaction mechanism and the factors affecting enantioselectivity in this process.

  • 07

    Functionalized Iminium Salt Systems for Catalytic Asymmetric Epoxidation

    Page, P. C. B.;* Rassias, G. A.; Barros, D. A.; Ardakani, A.; Buckley, B.; Bethell, D.; Smith, T. A. D.; Slawin, A. M. Z

    Functionalized Iminium Salt Systems for Catalytic Asymmetric Epoxidation

    Page, P. C. B.;* Rassias, G. A.; Barros, D. A.; Ardakani, A.; Buckley, B.; Bethell, D.; Smith, T. A. D.; Slawin, A. M. Z

    J. Org. Chem. 2001, 66, 6926-6931

    DOI : https://doi.org/10.1021/jo010258n

    A range of dihydroisoquinolinium salts containing alcohol, ether, and acetal functionalities in the nitrogen substituent has been prepared and tested as asymmetric epoxidation catalysts, providing ee's of up to ca. 60%.

  • 08

    New Organocatalysts for the Asymmetric Catalytic Epoxidation of Alkenes Mediated by Chiral Iminium Salts

    Page, P. C. B.;* Rassias, G. A.; Barros, D. A.; Ardakani, A.; Bethell, D.; Merifield, E.

    New Organocatalysts for the Asymmetric Catalytic Epoxidation of Alkenes Mediated by Chiral Iminium Salts

    Page, P. C. B.;* Rassias, G. A.; Barros, D. A.; Ardakani, A.; Bethell, D.; Merifield, E.

    Synlett 2002, (4), 580-582. (Impact factor 2.454)

    DOI : http://dx.doi.org/10.1002/chin.200230058

    The first nonaqueous conditions are describedfor catalytic asymmetric epoxidation mediated by iminiumsalt organocatalysts, providing ee values of up to 67%.

  • 09

    1,2-Aminothioethers Derived from Ephedrine and Pseudoephedrine: Heterobidentate Ligands for the Palladium-Catalysed Asymmetric Allylic Substitution Reaction

    Page, P. C. B.;* Heaney, H.; Reignier, S.; Rassias, G. A.

    1,2-Aminothioethers Derived from Ephedrine and Pseudoephedrine: Heterobidentate Ligands for the Palladium-Catalysed Asymmetric Allylic Substitution Reaction

    Page, P. C. B.;* Heaney, H.; Reignier, S.; Rassias, G. A.

    Synlett 2003, (1), 22-28. (Impact factor 2.454)

    DOI : http://dx.doi.org/10.1055/s-2003-36221

    Heterobidentate sulfide-tertiary amine ligands incorporating 1,2-aminothioethers derived from ephedrine and pseudoephedrine have been prepared and used successfully in the palladium-catalysed asymmetric allylic substitution reaction, giving ees of up to 89%. The stereoelectronic effects operating in the reactions are discussed.

    Key words : ephedrine - heterobidentate ligands - allylic substitution

  • 10

    Short and Versatile Route to a Key Intermediate for Lactacystin Synthesis

    Page, P. C. B.;* Hamzah, A. S.; Leach, D. C.; Allin, S. M.; Andrews, D. M.; Rassias, G. A.

    Short and Versatile Route to a Key Intermediate for Lactacystin Synthesis

    Page, P. C. B.;* Hamzah, A. S.; Leach, D. C.; Allin, S. M.; Andrews, D. M.; Rassias, G. A.

    Org. Lett., 2003, 5(3), 353-355 (Impact factor 6.005)

    DOI : https://doi.org/10.1021/ol027387q

    A key intermediate 14 for the synthesis of lactacystin 1 has been constructed in four steps and 33% overall yield. The key steps involve cyclization of a suitably functionalized glutamic acid derivative and concomitant alkylation of the resulting β,β-diketoester system, C-acylation of the cyclic α-amidoketone 9, and decarboxylbenzylation of 12. Alkylation of a related β,β-diketoester 5 was additionally achieved with several electrophiles.

  • 11

    The Second Total Synthesis of Diazonamide A

    Nicolaou, K. C.;* Rao, P. B.; Hao, J.; Reddy, M. V.; Rassias, G.; Huang, X.; Chen, D. Y.-K.; Snyder, S. A.

    The Second Total Synthesis of Diazonamide A

    Nicolaou, K. C.;* Rao, P. B.; Hao, J.; Reddy, M. V.; Rassias, G.; Huang, X.; Chen, D. Y.-K.; Snyder, S. A.

    Angew. Chem. Int. Ed. 2003, 42, 1753 – 1758 (Impact factor 15.336)

    DOI : https://doi.org/10.1021/ja040093a

    As an especially unique target for chemical synthesis, diazonamide A has the potential to be constructed through a plethora of synthetic routes, each attended by different challenges and opportunities for discovery. In this article, we detail our second total synthesis of diazonamide A through a sequence entirely distinct from that employed in our first campaign, one whose success required the development of several special strategies and tactics. We also disclose our complete studies regarding the chemical biology of diazonamide A and its structural congeners, and more fully delineate the scope of our protocol for Robinson−Gabriel cyclodehydration using pyridine-buffered POCl3.

  • 12

    Design, Synthesis, and Biological Properties of Highly Potent Epothilone B Analogues

    Nicolaou, K. C.;* Sasmal, P. K.; Rassias, G.; Reddy, M. V.; Altmann, K.-H.; Wartmann, M.; O'Brate, A.; Giannakakou, P.

    Design, Synthesis, and Biological Properties of Highly Potent  Epothilone B Analogues

    Nicolaou, K. C.;* Sasmal, P. K.; Rassias, G.; Reddy, M. V.; Altmann, K.-H.; Wartmann, M.; O'Brate, A.; Giannakakou, P.

    Angew. Chem. Int. Ed. 2003, 42(30), 3515-3520. (Impact factor 15.336)

    DOI : https://doi.org/10.1002/anie.200351819

    A number of rationally designed epoxide and cyclopropane epothilone B (1) analogues with substituted side chains were prepared and their biological activities were evaluated against a series of human cancer cell lines. The cyclopropane analogue 2 with a methylsulfanylthiazole ring stands out as the most potent compound and is sixfold more active than 1. The methylsulfanyl group enhances the potency of these compounds.

  • 13

    Chemistry and Biology of Diazonamide A: Second Total Synthesis and Biological Investigations

    Nicolaou, K. C.;* Hao, J.; Reddy, M. V.; Rao, P. B.; Rassias, G.; Snyder, S.; Huang, X.; Chen, D. Y.-K.; Brenzovich, W.; Giuseppone, N.; Giannakakou, P.; O'Brate, A.

    Chemistry and Biology of Diazonamide A: Second Total Synthesis and Biological Investigations

    Nicolaou, K. C.;* Hao, J.; Reddy, M. V.; Rao, P. B.; Rassias, G.; Snyder, S.; Huang, X.; Chen, D. Y.-K.; Brenzovich, W.; Giuseppone, N.; Giannakakou, P.; O'Brate, A.

    Am. Chem. Soc. 2004, 126, 12897-12906 (Impact factor 15.419)

    DOI : https://doi.org/10.1021/ja040093a

    As an especially unique target for chemical synthesis, diazonamide A has the potential to be constructed through a plethora of synthetic routes, each attended by different challenges and opportunities for discovery. In this article, we detail our second total synthesis of diazonamide A through a sequence entirely distinct from that employed in our first campaign, one whose success required the development of several special strategies and tactics. We also disclose our complete studies regarding the chemical biology of diazonamide A and its structural congeners, and more fully delineate the scope of our protocol for Robinson−Gabriel cyclodehydration using pyridine-buffered POCl3.

  • 14

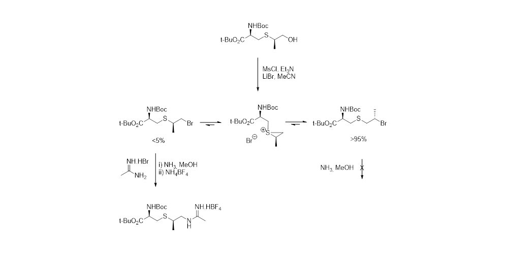
    (2R, 5R)-6N-(1-Iminoethyl)-2,6-diamino-5-methyl-4-thiohexanoic acid; salts thereof; a process for their preparation; pharmaceutical compositions containing them and their use in medicine.

    Hermitage, S. A.; Panchal, T.; A.; Rassias, G.;* Sanganee, M. J.

    (2R, 5R)-6N-(1-Iminoethyl)-2,6-diamino-5-methyl-4-thiohexanoic acid; salts thereof; a process for their preparation; pharmaceutical compositions containing them and their use in medicine.

    Hermitage, S. A.; Panchal, T.; A.; Rassias, G.;* Sanganee, M. J.

    WO 2005/005377-A1, 2005.

  • 15

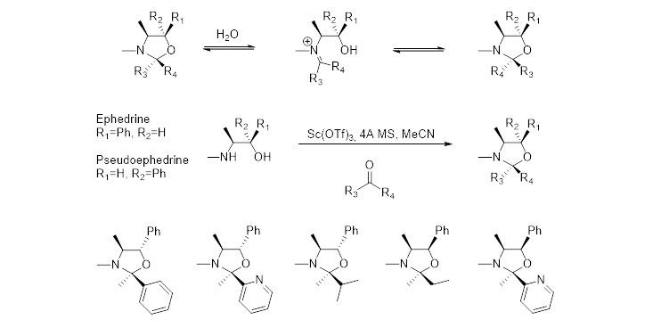
    The Highly Diastereoselective Synthesis of Oxazolidines Derived from Ketones and Pseudoephedrine or Ephedrine.

    Buckley, B. R.; Page, P. C. B.;* Edgar, M.; Elsegood, M. R. J.; Hayman,C. M.; Heaney, H.; Rassias, G. A.; Talib, S. A.; Liddle, J.; Readshaw, S. A.; Seaman, C. J.

    The Highly Diastereoselective Synthesis of Oxazolidines Derived from Ketones and Pseudoephedrine or Ephedrine.

    Buckley, B. R.; Page, P. C. B.;* Edgar, M.; Elsegood, M. R. J.; Hayman,C. M.; Heaney, H.; Rassias, G. A.; Talib, S. A.; Liddle, J.; Readshaw, S. A.; Seaman, C. J.

    Synlett 2005, 6, 971. (Impact factor 2.454)

    DOI : http://dx.doi.org/10.1055/s-2005-864824

    2,2-Dialkyl-3,4-dimethyl-5-phenyloxazolidines and 2-alkyl-2-aryl-3,4-dimethyl-5-phenyloxazolidines are formed with high diastereoselectivity from ketones and pseudoephedrine or ephedrine in the presence of scandium triflate and 4 A molecular sieves.

  • 16

    New chiral iminium salt catalysts for asymmetric epoxidation

    Page, P. C. B.;* Buckley, B. R.; Rassias G.; Blacker, J. A.

    New chiral iminium salt catalysts for asymmetric epoxidation

    Page, P. C. B.;* Buckley, B. R.; Rassias G.; Blacker, J. A.

    Eur. J. Org. Chem., 2006, 803-813. (Impact factor 3.021)

    DOI : https://doi.org/10.1002/ejoc.200500756

    A range of enantiomerically pure 4-substituted 5-amino-1,3-dioxanes has been condensed with 2-(2-bromoethyl)benzaldehyde to produce chiral dihydroisoquinolinium salts, which are effective asymmetric catalysts for the epoxidation of simple alkenes, giving ees of up to 71 %.

  • 17

    Synthesis of enantiomerically pure tertiary 1,2-aminoalcohols by the highly diastereoselective reductive ring opening of oxazolidines

    Page, P C. B.;* Buckley, B. R.; Elsegood, M. R. J.; Hayman, C. M.; Heaney, H.; Rassias, G. A.; Talib, S. A.; Liddle, J.

    Synthesis of enantiomerically pure tertiary 1,2-aminoalcohols by the highly diastereoselective reductive ring opening of oxazolidines

    Page, P C. B.;* Buckley, B. R.; Elsegood, M. R. J.; Hayman, C. M.; Heaney, H.; Rassias, G. A.; Talib, S. A.; Liddle, J.

    Tetrahedron, 2007, 63(45), 10991-10999. (Impact factor 2.457)

    DOI : https://doi.org/10.1016/j.tet.2007.08.053

    A number of enantiomerically pure 1,2-aminoalcohols containing tertiary nitrogen atoms bearing chiral substituents have been prepared by highly diastereoselective reductive ring cleavage of oxazolidines derived from ketones and pseudoephedrine or ephedrine. The ring cleavage occurs with retention of configuration.

  • 18

    Iminium Salt-Catalysed Asymmetric Epoxidation using Hydrogen Peroxide as Stoichiometric Oxidant.

    Page, P. C. B.;* Parker, P.; Buckley, B. R.; Rassias G.; Bethell, D.

    Iminium Salt-Catalysed Asymmetric Epoxidation using Hydrogen Peroxide as Stoichiometric Oxidant.

    Page, P. C. B.;* Parker, P.; Buckley, B. R.; Rassias G.; Bethell, D.

    Adv. Synth. Catal. 2008, 350, 1867-1874. (Impact factor 5.837)

    DOI : https://doi.org/10.1002/adsc.200800303

    Iminium salt organocatalysts can provide high selectivity and high efficiency in catalytic asymmetric epoxidation. They are normally used in conjunction with Oxone as the stoichiometric oxidant. Oxone, however, has limited stability and is insoluble in most organic solvents; we report here for the first time the development of a reaction system driven by hydrogen peroxide as the stoichiometric oxidant, involving an unusual double catalytic cycle.

  • 19

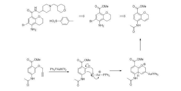
    A facile gold(I)-catalysed intramolecular alkyne hydroarylation approach to methyl 5-amino-2H-1-benzopyran-8-carboxylate derivatives.

    Curtis, N. R.;* Prodger, J. C.; Rassias, G.; Walker, A. J.

    A facile gold(I)-catalysed intramolecular alkyne hydroarylation approach to methyl 5-amino-2H-1-benzopyran-8-carboxylate derivatives.

    Curtis, N. R.;* Prodger, J. C.; Rassias, G.; Walker, A. J.

    Tetrahedron Lett. 2008, (49), 6279-6281. (Impact factor 2.415)

    DOI : https://doi.org/10.1016/j.tetlet.2008.08.022

    A high yielding and selective method for producing methyl 5-amino-2H-1-benzopyran-8-carboxylate derivatives via gold(I)-catalysed intramolecular alkyne hydroarylation has been developed.

  • 20

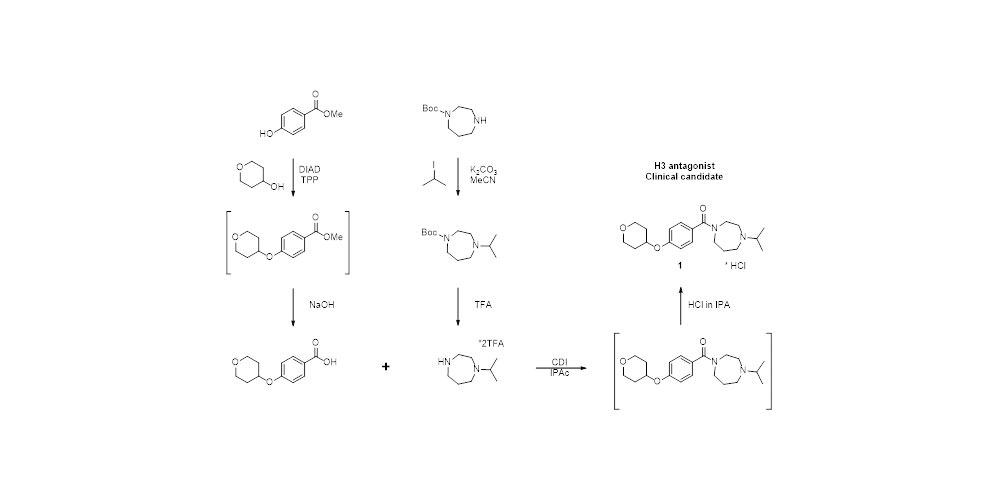
    Piperazine derivative having affinity for the histamine H3 receptor

    Best, D. J.; Orlek, B. S.; Rassias, G.;* Theobald, P. J.

    Piperazine derivative having affinity for the histamine H3 receptor

    Best, D. J.; Orlek, B. S.; Rassias, G.;* Theobald, P. J.

    WO 2009/030716-A1, 2009.

  • 21

    Organocatalysis of asymmetric epoxidation by iminium salts using sodium hypochlorite as the stoichiometric oxidant.

    Page, P. C. B.*; Parker, P.; Buckley, B. R.; Rassias, G. A.; Bethell, D.

    Organocatalysis of asymmetric epoxidation by iminium salts using sodium hypochlorite as the stoichiometric oxidant.

    Page, P. C. B.*; Parker, P.; Buckley, B. R.; Rassias, G. A.; Bethell, D.

    Tetrahedron 2009, 65, 2910–2915. (Impact factor 2.457)

    DOI : https://doi.org/10.1016/j.tet.2009.02.007

    Iminium salts can provide high selectivity and high efficiency when used as organocatalysts for asymmetric epoxidation. For this purpose, they are normally used in conjunction with Oxone as the stoichiometric oxidant. Oxone, however, has limited stability, is insoluble in most organic solvents, is atom-inefficient, and produces considerable inorganic residue as the by-product of oxidation. In this paper we report for the first time the development of a reaction system driven by sodium hypochlorite as the stoichiometric oxidant.

  • 22

    Development of a supply route for the synthesis of an iNOS inhibitor via a complicated SN2 reaction.

    Rassias, G.;* Hermitage, S. A.; Sanganee, M. J.; Kincey, P. M.; Smith, N. M.; Andrews, I. P.; Borrett, G. T.; Slater, G. R.

    Development of a supply route for the synthesis of an iNOS inhibitor via a complicated SN2 reaction.

    Rassias, G.;* Hermitage, S. A.; Sanganee, M. J.; Kincey, P. M.; Smith, N. M.; Andrews, I. P.; Borrett, G. T.; Slater, G. R.

    Org. Proc. Res. Dev. 2009, 13, 774–780 (Impact factor 3.317)

    DOI : https://doi.org/10.1021/op900108b

    The original medicinal chemistry synthesis of an iNOS inhibitor presented several challenges that had to be overcome in order to constitute a supply route suitable for operation on a multikilo scale. The key step in the synthesis is an SN2 reaction that assembles the chiral carbon framework, but this reaction proved far more complex than we anticipated. Significant improvements were made to all stages. The modified route performed well over two pilot-plant campaigns and delivered over 250 kg of the active pharmaceutical ingredient (API).

  • 23

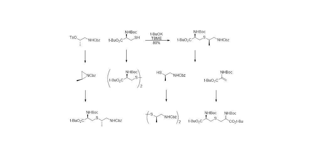
    Controlling thiiranium intermediates - A new route to an iNOS inhibitor

    Rassias G.;* Hermitage S. A.

    Controlling thiiranium intermediates - A new route to an iNOS inhibitor

    Rassias G.;* Hermitage S. A.

    Tetrahedron Lett. 2009, 50, 5565–5568 (Impact factor 2.415)

    DOI : https://doi.org/10.1016/j.tetlet.2009.07.059

    Our synthetic efforts towards an iNOS (inducible isoform of the nitric oxide synthase) inhibitor led us to the relatively unexplored field of generating and controlling the reactivity of chiral, unsymmetrical thiiranium species. We found that product regiochemistry depends on a tunable equilibrium, the understanding of which proved pivotal in defining a new route to a drug substance. The development of a new amidination method is also discussed.

  • 24

    Investigation of Synthetic Routes to a Key Benzopyran Intermediate of a 5HT4 Agonist

    G. Rassias,* N. G. Stevenson, N. R. Curtis, J. M. Northall, M. Gray, J. C. Prodger, and A. J. Walker

    Investigation of Synthetic Routes to a Key Benzopyran Intermediate of a 5HT4 Agonist

    G. Rassias,* N. G. Stevenson, N. R. Curtis, J. M. Northall, M. Gray, J. C. Prodger, and A. J. Walker

    Org. Proc. Res. Dev. 2010, 14, 92–98 (Impact factor 3.317)

    DOI : https://doi.org/10.1021/op900188v

    The supply route to GlaxoSmithKline’s 5HT4 receptor agonist 1 centred on the construction of key benzopyran fragment 2. Our attempts to define the final manufacturing route for this component are described through a series of disconnections. The systematic approach undertaken towards the construction of the benzopyran skeleton focused on cyclisation strategies from appropriate precursors and evaluation of the performance of the key steps.

  • 25

    Salt of, and processes for the preparation of, 1-isopropyl-4-hexahydro-1h-1,4-diazepine

    C. J. Day, T. R. Keel, G. Rassias*

    Salt of, and processes for the preparation of, 1-isopropyl-4-hexahydro-1h-1,4-diazepine

    C. J. Day, T. R. Keel, G. Rassias*

    US20110190274, 2011

  • 26

    Trifluoromethylation of Allylsilanes under Copper Catalysis

    S. Mizuta, O. Galicia-Lopez, K. M. Engle, S. Verhoog, K. Wheelhouse, G. Rassias, and V. Gouverneur*

    Trifluoromethylation of Allylsilanes under Copper Catalysis

    S. Mizuta, O. Galicia-Lopez, K. M. Engle, S. Verhoog, K. Wheelhouse, G. Rassias, and V. Gouverneur*

    Chem. Eur. J. 2012, 18, 8583 – 8587 (Impact factor 5.236)

    DOI : https://doi.org/10.1002/chem.201201707

    Branched allylic CF3 products are accessible by copper-catalyzed trifluoromethylation of allylsilanes with the Togni reagent I. The silyl group is critical to control the outcome of this reaction because in its absence, a product of addition between the alkene and the Togni reagent is formed preferentially. The reaction is inhibited with 2,2,6,6-tetramethyl-1-piperidinyloxy (TEMPO) and is likely to operate via multiple reaction pathways.

  • 27

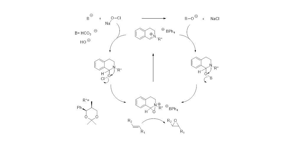
    Asymmetric Epoxidation Using Iminium Salt Organocatalysts Featuring Dynamically Controlled Atropoisomerism

    P. C. B. Page,* C. J. Bartlett, Y. Chan, D. Day, P. Parker, B. R. Buckley, G. A. Rassias, A. M. Z. Slawin, S. M. Allin, J. Lacour and A. Pinto

    Asymmetric Epoxidation Using Iminium Salt Organocatalysts Featuring Dynamically Controlled Atropoisomerism

    P. C. B. Page,* C. J. Bartlett, Y. Chan, D. Day, P. Parker, B. R. Buckley, G. A. Rassias, A. M. Z. Slawin, S. M. Allin, J. Lacour and A. Pinto

    J. Org. Chem. 2012, 77, 6128−6138 (Impact factor 4.335)

    DOI : https://doi.org/10.1021/jo300915u

    Introduction of a pseudoaxial substituent at a stereogenic center adjacent to the nitrogen atom in binaphthyl- and biphenyl-derived azepinium salt organocatalysts affords improved enantioselectivities and yields in the epoxidation of unfunctionalized alkenes. In the biphenyl-derived catalysts, the atropoisomerism at the biphenyl axis is controlled by the interaction of this substituent with the chiral substituent at nitrogen.

  • 28

    Direct ortho-Arylation of ortho-Substituted Benzoic Acids: Overriding Pd-Catalyzed Protodecarboxylation

    C. Arroniz, A. Ironmonger, G. Rassias, I. Larrosa*

    Direct ortho-Arylation of ortho-Substituted Benzoic Acids: Overriding Pd-Catalyzed Protodecarboxylation

    C. Arroniz, A. Ironmonger, G. Rassias, I. Larrosa*

    Org. Lett. 2013, 15(4), 910–913 (Impact factor 6.005)

    DOI : https://doi.org/10.1021/ol400065j

    ortho-Arylation of ortho-substituted benzoic acids is a challenging process due to the tendency of the reaction products toward Pd-catalyzed protodecarboxylation. A simple method for preventing decarboxylation in sterically hindered benzoic acids is reported. The method described represents a reliable and broadly applicable entry to 2-aryl-6-substituted benzoic acids.

  • 29

    Catalytic Hydrotrifluoromethylation of Unactivated Alkenes

    S. Mizuta, S. Verhoog, K. M. Engle, T. Khotavivattana, M. O’Duill, K. Wheelhouse, G. Rassias, M. Médebielle, and V. Gouverneur*

    Catalytic Hydrotrifluoromethylation of Unactivated Alkenes

    S. Mizuta, S. Verhoog, K. M. Engle, T. Khotavivattana, M. O’Duill, K. Wheelhouse, G. Rassias, M. Médebielle, and V. Gouverneur*

    J. Am. Chem. Soc. 2013, 135(7), 2505–2508 (Impact factor 15.419)

    DOI : https://doi.org/10.1021/ja401022x

    A visible-light-mediated hydrotrifluoromethylation of unactivated alkenes that uses the Umemoto reagent as the CF3 source and MeOH as the reductant is disclosed. This effective transformation operates at room temperature in the presence of 5 mol % Ru(bpy)3Cl2; the process is characterized by its operational simplicity and functional group tolerance.

  • 30

    Τrifluoromethylation of Allylsilanes under Photoredox Catalysis

    S. Mizuta, K. M. Engle, S. Verhoog, O. Galicia-Lopez, M. O’Duill, M. Medebielle, K. Wheelhouse, G. Rassias, A. L. Thompson, and V. Gouverneur*

    Τrifluoromethylation of Allylsilanes under Photoredox Catalysis

    S. Mizuta, K. M. Engle, S. Verhoog, O. Galicia-Lopez, M. O’Duill, M. Medebielle, K. Wheelhouse, G. Rassias, A. L. Thompson, and V. Gouverneur*

    Org. Lett. 2013, 15(6), 1250–1253 (Impact factor 6.005)

    DOI : https://doi.org/10.1021/ol400184t

    A new catalytic method to access allylic secondary CF3 products is described. These reactions use the visible light excited Ru(bpy)3Cl2·6H2O catalyst and the Togni or Umemoto reagent as the CF3 source. The photoredox catalytic manifold delivers enantioenriched allylic trifluoromethylated products not accessible under Cu(I) catalysis.

  • 31

    An organic cation as a silver(I) analogue for the arylation of sp2 and sp3 C–H bonds with iodoarenes

    C. Arroniz, J. G. Denis, A. Ironmonger, G. Rassias, Igor Larrosa*

    An organic cation as a silver(I) analogue for the arylation of sp2 and sp3 C–H bonds with iodoarenes

    C. Arroniz, J. G. Denis, A. Ironmonger, G. Rassias, Igor Larrosa*

    Chem. Sci., 2014, 5, 3509 (Impact factor 9.825)

    DOI : https://doi.org/10.1039/C4SC01215A

    Reactions promoted by stoichiometric amounts of silver salts suffer from high cost, limited availability and raise environmental concerns. This manuscript describes studies leading to the discovery of a general replacement for silver with an inexpensive and convenient organic salt in palladium catalyzed direct C(sp2)–H and C(sp3)–H arylation reactions.

  • 32

    Atropo- and diastereo- selective construction of tetracyclic biphenylazepinium salts derived from aminoalcohols: Use as catalysts in enantioselective asymmetric epoxidation

    P. C. B. Page,* C. A. Pearce, Y. Chan, P. Parker, B. R. Buckley, G. A. Rassias, M. R. J. Elsegood

    Atropo- and diastereo- selective construction of tetracyclic biphenylazepinium salts derived from aminoalcohols: Use as catalysts in enantioselective asymmetric epoxidation

    P. C. B. Page,* C. A. Pearce, Y. Chan, P. Parker, B. R. Buckley, G. A. Rassias, M. R. J. Elsegood

    J. Org. Chem. 2015, 80(16), 8036–8045 (Impact factor 4.335)

    DOI : https://doi.org/10.1021/acs.joc.5b01157

    A range of new biphenylazepinium salt organocatalysts effective for asymmetric epoxidation has been developed incorporating an additional substituted oxazolidine ring, and providing improved enantiocontrol in alkene epoxidation over the parent structure. Starting from enantiomerically pure aminoalcohols, tetracyclic iminium salts were obtained as single diastereoisomers through an atroposelective oxazolidine formation.

  • 33

    Degradation of atrazine in soil by dielectric barrier discharge plasma – Potential singlet oxygen mediation

    C.A. Aggelopoulos,* D. Tataraki, G. Rassias

    Degradation of atrazine in soil by dielectric barrier discharge plasma – Potential singlet oxygen mediation

    C.A. Aggelopoulos,* D. Tataraki, G. Rassias

    Chem. Eng. J. 2018, 347, 682-694 (Impact factor 13.273)

    DOI : https://doi.org/10.1016/j.cej.2018.04.111

    Dielectric barrier discharge (DBD) was used for the first time to remediate atrazine-polluted soil in a plane-to-grid plasma reactor operating with air at atmospheric pressure. It was established that atrazine degradation efficiency is an increasing function of applied voltage and discharge frequency. The degradation efficiency of atrazine in dry soil reached as high as 86.9% and 98.1% after 60 min of plasma treatment, starting from initial pollutant concentrations of 100 and 10 mg/kg, respectively.

  • 34

    Cell-active carbazole derivatives as inhibitors of the zika virus protease

    G. Rassias,* V. Zogali, C.M.D. Swarbrick, K.W.Κ. Chan, S. A. Chan, C. P. Gwee, S. Wang E. Kaplanai, A. Canko, D. Kiousis, J. Lescar, D. Luo, M.T. Matsoukas, S. G. Vasudevan*

    Cell-active carbazole derivatives as inhibitors of the zika virus protease

    G. Rassias,* V. Zogali, C.M.D. Swarbrick, K.W.Κ. Chan, S. A. Chan, C. P. Gwee, S. Wang E. Kaplanai, A. Canko, D. Kiousis, J. Lescar, D. Luo, M.T. Matsoukas, S. G. Vasudevan*

    Eur. J. Med. Chem. 2019, 180, 536-545 (Impact factor 6.514)

    DOI : https://doi.org/10.1016/j.ejmech.2019.07.007

    Zika virus (ZIKV) infection recently resulted in an international health emergency the Americas in and despite its high profile there is currently no approved treatment for ZIKV infection with millions of people being at risk. ZIKV is a member of Flaviviridae family which includes prominent members such as dengue virus (DENV) and West Nile virus (WNV). One of the best validated targets for developing anti-flaviviral treatment for DENV and WNV infection is the NS2B/NS3 protease. However the inhibitors reported to date have shown limited promise for further clinical development largely due to poor cellular activity. Prompted by the conserved nature of the viral NS2B/NS3 protease across flaviviruses, we envisaged that small molecule inhibitors of the ZIKVpro may be developed by applying rational design on previously reported scaffolds with demonstrated activity against other flaviviral proteases. Starting with an earlier WNVpro hit we performed a scaffold hopping exercise and discovered that certain carbazole derivatives bearing amidine groups possessed submicromolar potency and significant cellular activity against ZIKV. We successfully addressed various issues with the synthesis of novel N-substituted carbazole-based amidines thus permitting a targeted SAR campaign. The in vitro biochemical and cell-based inhibitory profiles exhibited by the lead molecule described in this work (ZIKVpro IC50 0.52 μM, EC50 1.25 μM), is among the best reported to date. Furthermore, these molecules possess capacity for further optimization of pharmacokinetics and may evolve to broad spectrum flaviviral protease inhibitors.

  • 35

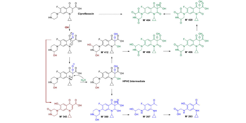
    Remediation of ciprofloxacin-contaminated soil by nanosecond pulsed dielectric barrier discharge plasma: Influencing factors and degradation mechanisms

    C.A. Aggelopoulos,* M. Hatzisymeon, D. Tataraki, G. Rassias

    Remediation of ciprofloxacin-contaminated soil by nanosecond pulsed dielectric barrier discharge plasma: Influencing factors and degradation mechanisms

    C.A. Aggelopoulos,* M. Hatzisymeon, D. Tataraki, G. Rassias

    Chem. Eng. J. 2020, 393, 124768 (Impact factor 13.273)

    DOI : https://doi.org/10.1016/j.cej.2020.124768

    The continuous release of antibiotics in soil environment poses a serious threat for soil and water quality and consequently human health. However, research efforts focused on the effective remediation of antibiotic-polluted soil are still very limited. In this study, a nanosecond pulsed dielectric barrier discharge (nsp-DBD) plasma system was used for the first time to remediate soil contaminated by ciprofloxacin which is one of the most widely used, persistent and genotoxic antibiotics. Various cold atmospheric plasma (CAP) operating parameters were investigated and optimized. The optimal moisture content and air flow rate were determined at 5% and 1.0 L min−1, respectively. Ciprofloxacin degradation increased with pulse voltage and pulse repetition rate and decreased with higher initial concentrations in the soil. At optimal conditions (pulse voltage 17.4 kV, pulse frequency 200 Hz), ciprofloxacin was completely degraded (~99%) in soil, at very short nsp-DBD treatment time (~3 min), with the corresponding energy efficiency being 4.6 mg/kJ. The relative distribution and identity of major ciprofloxacin degradants generated was determined by UPLC-MS analysis. This led to the generation of a degradation map that is consistent with hydroxyl radical-driven successive hydrogen atom abstractions and hydroxyl radical recombination events at the onset of the process followed by singlet oxygen mediated degradation. Interestingly, the degradation pattern observed under nsp-DBD conditions shares several aspects with the in-vivo metabolic profile of ciprofloxacin.

  • 36

    Degradation of antibiotic enrofloxacin in water by gas-liquid nsp-DBD plasma: Parametric analysis, effect of H2O2 and CaO2 additives and exploration of degradation mechanisms

    C.A. Aggelopoulos,* S. Meropoulis, M. Hatzisymeon, Z.G. Lada, G. Rassias

    Degradation of antibiotic enrofloxacin in water by gas-liquid nsp-DBD plasma: Parametric analysis, effect of H2O2 and CaO2 additives and exploration of degradation mechanisms

    C.A. Aggelopoulos,* S. Meropoulis, M. Hatzisymeon, Z.G. Lada, G. Rassias

    Chem. Eng. J. 2020, 393, 124768 (Impact factor 13.273)

    DOI : https://doi.org/10.1016/j.cej.2020.125622

    Enrofloxacin (ENRO) is a highly toxic fluoroquinolone antibiotic widely used in a broad spectrum of human activities and therefore increased ENRO levels found in aquatic environments pose serious threats for human and livestock health. In this study, a gas–liquid nanosecond pulsed dielectric barrier discharge (nsp-DBD) plasma reactor was used for the degradation of ENRO in aqueous solutions. The increase of pulse peak voltage and the pulse repetition rate, up to a certain limit, were found to enhance ENRO degradation efficiency, degradation rate and energy yield. Under the optimum pulse voltage and pulse frequency, ENRO was completely degraded after 20 min with the corresponding energy yield being 1.1 g/kWh. Air and O2 as working gases displayed superior impact on degradation compared to N2. Additives such as CaO2 and H2O2 were found to enhance the degradation rate with CaO2 being superior promoter compared to H2O2. The UV–Vis emission spectra of the plasma discharge revealed the generation of various reactive nitrogen and oxygen species in the gas phase whereas the concentrations of the reactive gaseous NOx were also measured. In liquid phase, the importance of radical dotOH and 1O2 in the degradation process was confirmed by using appropriate scavengers, while H2O2 concentration was quantified by reflectance photometry. A degradation pathway was proposed following HPLC and UPLC/MS analysis of treated samples at various time points of the nsp-DBD treatment. Overall, the complete degradation of enrofloxacin in water was achieved with very high-energy yield suggesting that the current nsp-DBD system could be considered an appealing alternative as a cost-effective technology for the remediation of antibiotic-polluted water systems.

  • 37

    Epoxide Syntheses and Ring-Opening Reactions in Drug Development

    F. Moschona, I. Savvopoulou, M. Tsitopoulou, D. Tataraki, G. Rassias*

    Epoxide Syntheses and Ring-Opening Reactions in Drug Development

    F. Moschona, I. Savvopoulou, M. Tsitopoulou, D. Tataraki, G. Rassias*

    Catalysts 2020, 10, 1117-1182 (Impact factor 3.934)

    DOI : https://doi.org/10.3390/catal10101117

    This review concentrates on success stories from the synthesis of approved medicines and drug candidates using epoxide chemistry in the development of robust and efficient syntheses at large scale. The focus is on those parts of each synthesis related to the substrate-controlled/diastereoselective and catalytic asymmetric synthesis of epoxide intermediates and their subsequent ring-opening reactions with various nucleophiles. These are described in the form of case studies of high profile pharmaceuticals spanning a diverse range of indications and molecular scaffolds such as heterocycles, terpenes, steroids, peptidomimetics, alkaloids and main stream small molecules. Representative examples include, but are not limited to the antihypertensive diltiazem, the antidepressant reboxetine, the HIV protease inhibitors atazanavir and indinavir, efinaconazole and related triazole antifungals, tasimelteon for sleep disorders, the anticancer agent carfilzomib, the anticoagulant rivaroxaban the antibiotic linezolid and the antiviral oseltamivir. Emphasis is given on aspects of catalytic asymmetric epoxidation employing metals with chiral ligands particularly with the Sharpless and Jacobsen–Katsuki methods as well as organocatalysts such as the chiral ketones of Shi and Yang, Pages’s chiral iminium salts and typical chiral phase transfer agents.

    Keywords: epoxides; drug development; catalytic asymmetric epoxidation; organocatalysis; process development and manufacturing routes; Sharpless and Jacobsen–Katsuki asymmetric epoxidation; chiral ketones/dioxiranes; iminium/oxaziridinium salts; epoxide ring opening

  • 38

    Potent antiproliferative activity of bradykinin B2 receptor selective agonist FR-190997 and analogue structures thereof: A paradox resolved?

    G. Rassias,* S. Leonardi, D. Rigopoulou, E. Vachlioti, K. Afratis, Z. Piperigkou, C. Koutsakis, N. K. Karamanos, H. Gavras,* D. Papaioannou*

    Potent antiproliferative activity of bradykinin B2 receptor selective agonist FR-190997 and analogue structures thereof: A paradox resolved?

    G. Rassias,* S. Leonardi, D. Rigopoulou, E. Vachlioti, K. Afratis, Z. Piperigkou, C. Koutsakis, N. K. Karamanos, H. Gavras,* D. Papaioannou*

    Eur. J. Med. Chem. 2021, 210, 112948 (Impact factor 6.514)

    DOI : https://doi.org/10.1016/j.ejmech.2020.112948

    Βradykinin stimulation of B2 receptor is known to activate the oncogenic ERK pathway and overexpression of bradykinin receptors B1 and B2 has been reported to occur in glioma, colorectal and cervical cancers. B1R and B2R antagonists have been shown to reverse tumor proliferation and invasion. Paradoxically, B1R and B2R agonism has also been reported to elicit antiproliferative benefits. In order to complement the data accumulated to date with the natural substrate bradykinin and peptidic B2R antagonists, we decided to examine for the first time the response elicited by B2R stimulation in breast cancer lines with a non-peptidic small molecule B2R agonist. We synthesized and assessed the highly selective and potent B2R partial agonist FR-190997 in MCF-7 and MDA-MBA-231 breast cancer lines and found it possessed significant antiproliferative activity (IC50 2.14 and 0.08 μΜ, respectively). The modular nature of FR-190997 allowed us to conduct a focused SAR study and discover compound 10 which exhibits subnanomolar antiproliferative activity (IC 50 0.06 nΜ) in the TNBC MDA-MBA-231 cell line. This performance surpasses, in most cases by several orders of magnitude, those of established anticancer agents and FDA-approved breast cancer drugs. In line with the established literature we suggest that this remarkable activity precipitates from a dual mode of action involving agonist-induced receptor internalization/degradation combined with sequestration of functional intracellular B2 receptors and inhibition of the associated endosomal signaling. The latter mode may be realized by appropriate ligands regardless of B2R agonist/antagonist designation which only relates to membrane residing GCPRs. Under this prism the controversy over the antiproliferative effects of B2 agonists and antagonists is potentially neutralized.

  • 39

    Novel combination of high voltage nanopulses and in-soil generated plasma micro-discharges applied for the highly efficient degradation of trifluralin

    M. Hatzisymeon, D. Tataraki, G. Rassias, C.A Aggelopoulos*

    Novel combination of high voltage nanopulses and in-soil generated plasma micro-discharges applied for the highly efficient degradation of trifluralin

    M. Hatzisymeon, D. Tataraki, G. Rassias, C.A Aggelopoulos*

    J. Haz. Mat. 2021, 415, 125646 (Impact factor 9.038)

    DOI : https://doi.org/10.1016/j.jhazmat.2021.125646

    Cold plasma is considered a highly competitive advanced oxidation process for the removal of organic pollutants from soil. Herein, we describe for the first time the combination of in-soil generated plasma micro-discharges with the advantageous high voltage nanosecond pulses (NSP) towards the high-efficient degradation of trifluralin in soil. We performed a detailed parametric analysis (pulse frequency, pulse voltage, soil thickness, soil type, energy efficiency) to determine the optimum operational conditions. High trifluralin degradation was achieved even at the higher soil thickness, indicating that the production of plasma discharges directly inside the soil pores enhanced the mass transfer of plasma reactive oxygen and nitrogen species (RONS) in soil. The energy efficiency achieved was outstanding, being up to 2–3 orders of magnitude higher than those reported for other plasma systems. We identified the intermediate degradants and proposed the most dominant degradation pathways whereas a thorough exhaust gases analysis, optical emission spectroscopy (OES) and active species inhibition by using trapping agents revealed the main RONS involved. This effort constitutes a significant advancement in the "green" credentials and application of plasma-induced degradation of pollutants as it describes for the first time the removal of the highly harmful and toxic pesticide trifluralin from soil and provides a novel perspective towards the future development of cold plasma-based soil remediation technologies.

  • 40

    Highly energy-efficient degradation of antibiotics in soil: Extensive cold plasma discharges generation in soil pores driven by high voltage nanopulses

    M. Hatzisymeon, D. Tataraki, C. Tsakiroglou, G. Rassias, C.A. Aggelopoulos

    Highly energy-efficient degradation of antibiotics in soil: Extensive cold plasma discharges generation in soil pores driven by high voltage nanopulses

    M. Hatzisymeon, D. Tataraki, C. Tsakiroglou, G. Rassias, C.A. Aggelopoulos

    Sci. Tot. Enviroment 2021, 786, 147420 (Impact factor 7.963)

    DOI : https://doi.org/10.1016/j.scitotenv.2021.147420

    Cold atmospheric plasma (CAP) is a green and promising soil remediation approach with significant advantages in terms of energy consumption, removal efficiency and treatment time. The most critical factor for exploiting CAP is the accomplishment of very low remediation cost, while in parallel, the limited penetration of plasma species at soil layers holds back its wider implementation. In this study, we developed a novel dielectric barrier discharge plasma reactor driven by high voltage nanosecond pulses (NSP) able to generate micro-discharges within the interconnected soil pores facilitating the effective transport of reactive species within soil layers. Key-role parameters were investigated such as pulse voltage and pulse frequency, soil thickness and air flow rate. The effectiveness of the method was identified against different types of soil (sandy soil and loam soil), both under high and low ciprofloxacin concentration in soil, while soil moisture impact on degradation efficiency was also explored. An energy efficiency of 21.2 mg of pollutant/kJ was accomplished, which is the highest ever reported for CAP-based soil remediation. The most stable intermediate degradants of ciprofloxacin, and the associated degradation pathways were identified in a kinetic point of view, while the elimination of the toxic intermediates after treatment was ensured. The present effort provides a new highly energy efficient perspective for future development of a CAP-based soil remediation technology as it maximizes the transfer and penetration of plasma species in soil layers under very low estimated remediation cost (~0.4-1.2 €/tn of soil).

  • 41

    Structure-Degradation efficiency studies in the remediation of aqueous solutions of dyes using nanosecond-pulsed DBD plasma

    S. Meropoulis, G. Rassias, V. Bekiari, C.A. Aggelopoulos,*

    Structure-Degradation efficiency studies in the remediation of aqueous solutions of dyes using nanosecond-pulsed DBD plasma

    S. Meropoulis, G. Rassias, V. Bekiari, C.A. Aggelopoulos,*

    Sep. Pur. Tech. 2021, 274, 119031 (Impact factor 7.312)

    DOI : https://doi.org/10.1016/j.seppur.2021.119031

    Cold atmospheric plasma (CAP) is regarded as a highly competitive advanced oxidation process towards the removal of organic pollutants from wastewater. Nevertheless, the differences in plasma-induced degradation mechanisms and kinetics are poorly understood and affect their efficient remediation. In this work, nanosecond pulsed dielectric barrier discharge plasma (NSP-DBD) was employed to investigate the degradation/mineralization kinetics of five popular dyes (Orange II, Methylene Blue, Methyl Violet, Methyl Orange and Sunset Yellow). We found that the degradation kinetic order is MV > MO > MB > OII > SY nevertheless the faster degraded dyes MV, MO and MB produced intermediates that resist full degradation whereas the degradation of OII and SY may be slow to start but generated intermediates that were faster and fully degraded. Their difference with respect to total degradation was linked to structural features and their chemical reactivity primarily towards ·OH, 1O2 and electron transfer which was confirmed by experiments with appropriate scavengers. Consistent degradation maps were also generated. Under the optimized operating window, all dyes were completely degraded at treatment times ranging from 15 to 20 min with the corresponding energy yield being 1.5–2.0 g/kWh. The effect of critical factors such as water inherent properties and complex dye mixture were examined revealing the potential effectiveness of the system in real conditions. Following a comparison with equivalent systems it appears that nanosecond pulsed discharges is one of the most efficient among those reported for dye degradation in air–liquid plasma reactors.

  • 42

    Amidoxime prodrugs convert to potent cell-active multimodal inhibitors of the dengue virus protease

    C. Swarbrick, V. Zogali, K. W. K. Chan, D. Kiousis, C. P. Gwee, S. Wang, J. Lescar, D. Luo, M. von Itzstein, M. T. Matsoukas, G. Panagiotakopoulos, S. G. Vasudevan,* G. Rassias*

    Amidoxime prodrugs convert to potent cell-active multimodal inhibitors of the dengue virus protease

    C. Swarbrick, V. Zogali, K. W. K. Chan, D. Kiousis, C. P. Gwee, S. Wang, J. Lescar, D. Luo, M. von Itzstein, M. T. Matsoukas, G. Panagiotakopoulos, S. G. Vasudevan,* G. Rassias*

    Eur. J. Med. Chem. 2021, 224, 113695 (Impact factor 6.514)

    DOI : https://doi.org/10.1016/j.ejmech.2021.113695

    The flavivirus genus of the Flaviviridae family comprises Dengue, Zika and West-Nile viruses which constitute unmet medical needs as neither appropriate antivirals nor safe vaccines are available. The dengue NS2BNS3 protease is one of the most promising validated targets for developing a dengue treatment however reported protease inhibitors suffer from toxicity and cellular inefficacy. Here we report SAR on our previously reported Zika-active carbazole scaffold, culminating prodrug compound SP-471P (EC50 1.10 μM, CC50 > 100 μM) that generates SP-471; one of the most potent, non-cytotoxic and cell-active protease inhibitors described in the dengue literature. In cell-based assays, SP-471P leads to inhibition of viral RNA replication and complete abolishment of infective viral particle production even when administered 6 h post-infection. Mechanistically, SP-471 appears to inhibit both normal intermolecular protease processes and intramolecular cleavage events at the NS2BNS3 junction, as well as at NS3 internal sites, all critical for virus replication. These render SP-471 a unique to date multimodal inhibitor of the dengue protease.

  • 43

    A Novel Dual Organocatalyst for the Asymmetric Pinder Reaction and a Mechanistic Proposal Consistent with the Isoinversion Effect Thereof

    F. Moschona, A. Vagena, V. P. Vidali, G. Rassias,*

    A Novel Dual Organocatalyst for the Asymmetric Pinder Reaction and a Mechanistic Proposal Consistent with the Isoinversion Effect Thereof

    F. Moschona, A. Vagena, V. P. Vidali, G. Rassias,*

    Molecules 2021, 26, 6398. (Impact factor 4.418)

    DOI : https://doi.org/10.3390/molecules26216398

    In general, the Pinder reaction concerns the reaction between an enolisable anhydride and an aldehyde proceeding initially through a Knoevenagel reaction followed by the ring closing process generating lactones with at least two chiral centers. These scaffolds are frequently present in natural products and synthetic bioactive molecules, hence it has attracted intense interest in organic synthesis and medicinal chemistry, particularly with respect to controlling the diastereo- and enantioselectivity. To the best of our knowledge, there has been only one attempt prior to this work towards the development of a catalytic enantioselective Pinder reaction. In our approach, we designed, synthesized, and tested dual chiral organocatalysts by combining BIMAH amines, (2-(α-(alkyl)methanamine)-1H-benzimidazoles, and a Lewis acid motif, such as squaramides, ureas and thioureas. The optimum catalyst was the derivative of isopropyl BIMAH bearing a bis(3,5-trifluoromethyl) thiourea, which afforded the Pinder products from various aromatic aldehydes with diastereomeric ratio >98:2 and enatioselectivity up to 92 ee%. Interestingly, the enantioselectivity of this catalyzed process is increased at higher concentrations and exhibits an isoinversion effect, namely an inverted "U" shaped dependency with respect to the temperature. Mechanistically, these features, point to a transition state involving an entropy-favored heterodimer interaction between a catalyst/anhydride and a catalyst/aldehyde complex when all other processes leading to this are much faster in comparison above the isoinversion temperature.

    Keywords: pinder reaction; castagnolli–cushman reaction; asymmetric organocatalysis; chiral thiourea-BiMAH catalysts; isoinversion temperature

  • 44

    Organocatalytic Asymmetric Halocyclization of Allylic Amides to Chiral Oxazolines Using DTBM-SEGPHOS—Mechanistic Implications from Hammett Plots

    Fotini Moschona, Christina Misirlaki, Nikolaos Karadimas , Maria Koutiva, Ioanna Savvopoulou and Gerasimos Rassias

    Organocatalytic Asymmetric Halocyclization of Allylic Amides to Chiral Oxazolines Using DTBM-SEGPHOS—Mechanistic Implications from Hammett Plots

    Fotini Moschona, Christina Misirlaki, Nikolaos Karadimas , Maria Koutiva, Ioanna Savvopoulou and Gerasimos Rassias

    DOI : https://doi.org/10.3390/sym14050989

    The intramolecular halocyclization of alkenes possessing an internal heteroatom nucleophile leads to multifunctional heterocycles which are useful versatile intermediates in organic synthesis. The asymmetric chlorocyclisation of 2-substituted allylic amides gives access to chiral oxazolines bearing a chloromethyl moiety for further synthetic manipulation. The literature reports on this transformation involve complex syntheses of the 2-substituted allylic amides and cryogenic temperatures for achieving high enantioselectivities in the organocatalyzed halocyclization step. Based on the Heck reaction of aryl bromides and Boc-protected allylamine or allylamine benzamides, we developed a practical synthesis of 2-substituted allylic amides that does not require chromatography and accomplished their asymmetric halocyclization reaction with 24–92%ee under practical conditions (5 C, CpME) catalyzed by (S)-(+)-DTBM-SEGPHOS. In addition, using appropriately substituted substrates, we generated Hammett plots and formulated a consistent mechanism for the halocyclization reaction which involves two competing modes of formation of the haliranium intermediate whose relative kinetics are governed by the electronic properties of the substrate. Keywords: organocatalysis; halocyclization; 2-substituted allylic amides; 1,3-oxazolines; chiral diphosphines; Hammett plots

  • 45

    Degradation of organic pollutants combining plasma discharges generated within soil with TiO2 and ZnO catalysts: Comparative analysis, optimization and mechanisms

    M. Hatzisymeon, M.K. Daletou, G. Rassias, C.A. Aggelopoulos

    Degradation of organic pollutants combining plasma discharges generated within soil with TiO2 and ZnO catalysts: Comparative analysis, optimization and mechanisms

    M. Hatzisymeon, M.K. Daletou, G. Rassias, C.A. Aggelopoulos

    DOI : https://doi.org/10.1016/j.seppur.2023.124119

    An advantageous plasma-catalytic setup was developed and applied towards the degradation of trifluralin in soil. For the first time, TiO2 and ZnO catalysts were compared when employed in conjunction with micro-discharges generated directly into the interconnected soil channels. In the presence of catalysts, a significant increase in degradation efficiency was observed; after 5 min, trifluralin degradation increased from 66.5% (plasma alone) to 94.2% and 93% with the addition of TiO2 and ZnO, respectively. In terms of degradation kinetics, TiO2 was a slightly superior catalyst compared to ZnO whereas both catalysts performed better under oxygen than in air atmosphere. Compared to plasma alone, the plasma-catalytic treatment considerably increased (~3fold) the process energy efficiency. Moreover, the inhibitory effect of soil moisture was less pronounced during TiO2 plasma-catalysis where a reduction of ~19% in pollutant degradation was observed at 5 wt% soil moisture compared to a ~54% reduction during plasma alone. The addition of TiO2 and ZnO resulted in a significant increase in NO2 concentration and a noticeable reduction in O3 generation associated with an increase of certain plasma species concentration and the generation of additional and more active ROS, respectively. Liquid chromatography (UPLC/MS) data at the early stages of the trifluralin degradation revealed similar intermediates and degradation processes between plasma-alone and plasma-catalysis. The present effort supports the potential of future implementation of a plasma-catalytic soil remediation method being a rapid, highly efficient, low energy demanding and green method.

  • 46

    Development of a multigram synthesis of the bradykinin receptor 2 agonist FR‐190997 and analogs thereof

    E. Vachlioti, S. Ferikoglou, X. Georgiou, V. Karampatsis, K. Afratis, V. Bafiti, M. Savard, D. Papaioannou, T. Katsila, F. Gobeil Jr, G. Rassias*

    Development of a multigram synthesis of the bradykinin receptor 2 agonist FR‐190997 and analogs thereof

    E. Vachlioti, S. Ferikoglou, X. Georgiou, V. Karampatsis, K. Afratis, V. Bafiti, M. Savard, D. Papaioannou, T. Katsila, F. Gobeil Jr, G. Rassias*

    Archiv der Pharmazie, 2023, e2200610

    DOI : http://dx.doi.org/10.1002/ardp.202200610

    Using Fujisawa's B2R agonist FR-190997, we recently demonstrated for the first time that agonism at the bradykinin receptor type 2 (B2R) produces substantial antiproliferative effects. FR-190997 elicited an EC50 of 80 nM in the triple-negative breast cancer cell line MDA-MB-231, a much superior performance to that exhibited by most approved breast cancer drugs. Consequently, we initiated a program aiming primarily at synthesizing adequate quantities of FR-190997 to support further in vitro and in vivo studies toward its repurposing for various cancers and, in parallel, enable the generation of novel FR-190997 analogs for an SAR study. Prerequisite for this endeavor was to address the synthetic challenges associated with the FR-190997 scaffold, which the Fujisawa chemists had constructed in 20 steps, 13 of which required chromatographic purification. We succeeded in developing a 17-step synthesis amenable to late-stage diversification that eliminated all chromatography and enabled access to multigram quantities of FR-190997 and novel derivatives thereof, supporting further anticancer research based on B2R agonists.

  • 47

    Carbazole to indolazepinone scaffold morphing leads to potent cell-active dengue antivirals

    Vasiliki Zogali, Dimitrios Kiousis, Stefania Voutyra, Georgia Kalyva, Maharah Binte Abdul Mahid, Pradeep Bist, Kitti Wing Ki Chan, Subhash G. Vasudevan, Gerasimos Rassias

    Carbazole to indolazepinone scaffold morphing leads to potent cell-active dengue antivirals

    Vasiliki Zogali, Dimitrios Kiousis, Stefania Voutyra, Georgia Kalyva, Maharah Binte Abdul Mahid, Pradeep Bist, Kitti Wing Ki Chan, Subhash G. Vasudevan, Gerasimos Rassias

    European Journal of Medicinal Chemistry, Volume 268, 15 March 2024, 116213

    DOI : https://doi.org/10.1016/j.ejmech.2024.116213

    According to WHO, dengue virus is classed among major threats for future pandemics and remains at large an unmet medical need as there are currently no relevant antiviral drugs whereas vaccine developments have met with safety concerns, mostly due to secondary infections caused by antibody-dependant-enhancement in cross infections among the four dengue serotypes. This adds extra complexity in dengue antiviral research and has impeded the progress in this field. Following through our previous effort which born the allosteric, dual-mode inhibitor SP-471P (a carbazole derivative, EC50 1.1 μM, CC50 100 μM) we performed further optimisation while preserving the two arylamidoxime arms and the bromoaryl domain present in SP-471P. Examination of the relative positions of these functionalities within this three-point pharmacophore ultimately led us to an indolazepinone scaffold and our lead compound SP-1769B. SP-1769B is among the most cell-efficacious against all serotypes (DENV2/3 EC50 100 nM, DENV1/4 EC50 0.95–1.25 μM) and safest (CC50 > 100 μM) anti-dengue compounds in the literature that also completely inhibits a secondary ADE-driven infection.

  • 48

    Scalable Synthesis of Cinnamylamines Via the Heck Reaction: Application in the Synthesis of Abamine, Naftifine and Reboxetine

    Fotini Moschona, Maria Tsitopoulou, Margarita Efstratiou, Maria Koutiva and Gerasimos Rassias

    Scalable Synthesis of Cinnamylamines Via the Heck Reaction: Application in the Synthesis of Abamine, Naftifine and Reboxetine

    Fotini Moschona, Maria Tsitopoulou, Margarita Efstratiou, Maria Koutiva and Gerasimos Rassias

    European Journal of Organic Chemistry

    DOI : https://doi.org/10.1002/ejoc.202400079

    Following an extensive screening of reaction parameters such as the nature and amount of bases, Pd pre-catalysts, ligands, additives, solvents and temperature range, we succeeded in developing a Heck reaction using N-Boc-allylamine and commercially available aryl bromides, capable of delivering a wide range of Boc-protected trans-cinnamylamines with 75–85 % regio- and stereoselectivity over other isomers. Optimisation of the Boc-deprotection step and its work-up procedure allowed for all minor isomers and impurities to be purged thus isolating pure trans-cinnamylamines typically in 55–65 % yield without need for chromatography. We have successfully performed this chemistry in up to 5 g scale and demonstrated its usefulness by applying it to the synthesis of abamine, naftifine hydrochloride and a formal synthesis reboxetine mesylate.

  • 49

    Study of the effect of bradykinin B2 receptor activation, in the management of hypercholesterolemia and cardiovascular risk

    V Mparnia, E Vachlioti, G Kakafoni, K Giannatou, E Zvintzou, G Rassias, K. Kypreos

    Study of the effect of bradykinin B2 receptor activation, in the management of hypercholesterolemia and cardiovascular risk

    V Mparnia, E Vachlioti, G Kakafoni, K Giannatou, E Zvintzou, G Rassias, K. Kypreos

    Atherosclerosis, 2025, Volume 407 Supplement, 119503

    DOI : https://doi.org/10.1016/j.atherosclerosis.2025.119503

    Background and Aims: According to the World Health Organization, cardiovascular disease remains, for the last 20 years, the leading cause of death worldwide. Although, hypolipidemic therapies, such as statins, ezetmibe and PCSK9 inhibitors play a crucial role in the management of hyperlipidemia, development and progression of cardiovascular disease, a significant residual risk still exists in treated patients, which leads to the continuous investigation of novel pharmacological targets. High risk patients often have more than one comorbidities, with multiple risk factors such as hyperlipidemia, hypertension, and insulin resistance, creating a difficult to manage- disease profile. Here, we investigated the effect of bradykinin B2 receptor activation, through the administration of a non-peptide partial agonist, in the management of hypercholesterolemia in a homozygus familial hypercholesterolemia animal model.

    Methods: For this purpose, high-fat diet was administered for twenty weeks to two groups of male LDLR deficient mice (ldlr-/-) one of which received in the last six weeks, the B2 receptor agonist through food. After twenty weeks, the experimental animals were sacrificed, and blood and tissues were isolated for biochemical and molecular analyses.

    Results: Our results showed that the bradykinin B2 receptor agonist led to a significant reduction in plasma cholesterol levels, which was mainly due to a reduction in LDL cholesterol. In addition, the reduction in LDL cholesterol levels was accompanied by a significant reduction in the levels of apolipoprotein B, an apolipoprotein that has been directly associated with cardiovascular risk [2]. Furthermore, the bradykinin B2 receptor agonist caused a significant reduction in hepatic cholesterol levels but also had a significant effect on the glycemic profile of experimental animals to which it was administered.

    Conclusions: Based on these observations, we propose that bradykinin B2 receptor activation could be a potential pharmacological target for the management of hypercholesterolemia, glucose-related disorders and for the reduction of cardiovascular risk in patients with multiple metabolic disorders.

  • 50

    Optimization of pulsed DBD plasmas for the degradation of Valsartan in water; application to pharmaceutical pollutants of other molecular classes

    K. Papalexopoulou, I.E. Triantaphyllidou, S.S. Skandalis, G. Rassias, C.A. Aggelopoulos

    Optimization of pulsed DBD plasmas for the degradation of Valsartan in water; application to pharmaceutical pollutants of other molecular classes

    K. Papalexopoulou, I.E. Triantaphyllidou, S.S. Skandalis, G. Rassias, C.A. Aggelopoulos

    Chem. Eng. J. 2025, 515, 163732

    DOI : https://doi.org/10.1016/j.cej.2025.163732

    A multiparameter optimization of pulsed dielectric barrier discharge (DBD) plasma induced degradation of Valsartan was undertaken to investigate the viability of this technology in remediating aqueous solutions of metabolically resistant pharmaceuticals. To gain insight into background effects on plasma species and changes in the characteristics of the solution, two DBD reactor configurations (gas–liquid DBD and underwater DBD plasma bubbles), three carrier gases (air, oxygen and argon) and two water matrices (ultrapure and tap water) were examined first in the absence of pollutant. The degradation of Valsartan was then optimized with respect to carrier gas, reactor configuration, treatment time, pollutant concentration and water matrix which resulted in a process with high degradation and energy efficiencies (>99.9 % and 0.56 g kWh 1, respectively) under plasma bubble configuration in tap water with air as the carrier gas. The relative contributions of active plasma bubble species in the degradation process were determined using scavenging experiments and a consistent degradation mechanism was formulated based on UPLC/MS analysis of samples from various timepoints of the treatment. More importantly, the remediated solution under optimized conditions showed no toxicity in biochemical testing against two cell lines. The optimized plasma conditions were also applied successfully in the degradation of representative members of the sulfanilamide and fluoroquinolone classes of antibiotics. Overall, the optimized plasma bubble process constitutes a competitive remediation technology not only for water contaminated by sartans but also by diverse structural types of pharmaceutical pollutants.

  • 51

    Intepirdine Derivatives Possessing Dual 5HT6 Antagonism/HDAC6 Inhibitory Activity

    A. Gkanas, M. Koutiva, T. Katsila, V. Bafiti, M.-T. Matsoukas, V. Panagiotopoulos, A. J. Bojarski, T. Gkouvitsas, G. Moukas, G. Rassias
    Dedicated to Professor Philip Charles Bulman Page on the occasion of his 70th birthday

    Intepirdine Derivatives Possessing Dual 5HT6 Antagonism/HDAC6 Inhibitory Activity

    A. Gkanas, M. Koutiva, T. Katsila, V. Bafiti, M.-T. Matsoukas, V. Panagiotopoulos, A. J. Bojarski, T. Gkouvitsas, G. Moukas, G. Rassias
    Dedicated to Professor Philip Charles Bulman Page on the occasion of his 70th birthday

    Chem. Eur. J. 2025, 0, e00025

    DOI : https://doi.org/10.1002/chem.202500025

    Alzheimer's Disease (AD) impacts significantly the quality of life of people aged over 65 years old, while millions more suffer from other types of dementia, yet no effective drugs exist. The few approved drugs in this area address mostly the associated symptoms, while several selective agents acting on promising targets have failed in clinical trials. The complexity of neurodegenerative diseases has prompted multitargeting ligands as the new paradigm, where more than one biological mechanism may be perturbed synergistically. In this context, we explored the design and synthesis of dual 5-ΗΤ6 antagonists / HDAC6 inhibitors since these actions have been individually demonstrated to elicit cognitive-enhancing effects. Prototypes with this dual action on a GPCR and an enzyme were designed and synthesized by tethering an aryl-hydroxamic acid unit, an established pharmacophore for HDAC6 inhibition, to the piperazine of intepirdine, a potent 5-ΗΤ6 antagonist. A new gram-scale synthesis of intepirdine was developed followed by attaching different types of arylhydroxamic acids. Derivative RG-283AG emerged to possess sub-micromolar potency toward HDAC6 inhibition (IC50 0.54 μμ), nanomolar affinity (Ki 0.7 nM) for 5-HT6 receptor and favorable BBB penetration capacity, thus constituting the first example of a dual-acting 5-ΗΤ6 / HDAC6 ligand with potential cognitive-enhancing properties.

Gerry Rassias Research Group

Gallery

Partners

Collaborations

Partners

We thank all of our partners in academic collaborations and all firms that have trusted us with the provision of our chemistry services

  • Demo
  • Pharmathen
  • Pharos
  • Rontis
  • Viochemicals
  • viopharmaceuticals
  • University of Patras
  • Duke Nus Medical School
  • Εθνικό Ίδρυμα Ερευνών
  • Université de Sherbrooke
News

Latest News

  • By Gerry April 2026

    April 2026

    Congratulations to Leonidas Salapatas for successfully defending his MSc thesis.

    We thank the organizing committee of the 1st PanHellenic Conference of Postgraduate students for inviting us to present our work. ChemiST Con Greece 2026 | 1ο Πανελλήνιο Φοιτητικό Συνέδριο Χημικών Επιστημών και Τεχνολογιών 2026

  • By Gerry December 2025

    December 2025

    Congratulations to Angelo Mpitzekou for successfully defending his MSc thesis. Best wishes and strength to Angelo for his military service

  • By Gerry October 2025

    October 2025

    Congratulations to Eleanna Vahlioti for successfully defending her PhD thesis and starting work at ESYD.

    Congratulations to Konstantina Katsigianni for successfully defending her MSc thesis. Konstantina will continue in our group as a PhD candidate. Best wishes to Konstantina for her new research journey.

  • By Gerry July 2025

    July 2025

    Congratulations to Konstantina Tsitoura and Antonios Chountas for successfully defending their BSc thesis and obtaining their BSc(Hons) in Chemistry and achieving high rankings in their class. Best wishes to both in pursuing their academic and professional aspirations.

  • By Gerry June 2025

    June 2025

    Congratulations to Elpiniki Chronopoulou and Despoina Giannioti for successfully defending their MSc thesis on novel dengue antivirals (quinoline and pyrimidine derivatives respectively) and graduating from our MSc program "Medicinal Chemistry and Chemical Biology". Best wishes to both in succeeding in their new jobs in the pharmaceutical industry.

  • By Gerry May 2025

    May 2025

    We thank the organizing committee of EuChems-Organic Chemistry Division for inviting us to present our work in the European web-broadcasted event “Highlighting Organic Chemistry in Greece”

    A new scalable synthesis of Sitagliptin (Gerry Rassias)
    Watch the video of all presentations here https://www.youtube.com/watch?v=ZA8SmBxuaGU Congratulations to Eleftheria Koutroumani for successfully defending her MSc thesis on novel 5HT6 inhibitors and graduating from our MSc program "Medicinal Chemistry and Chemical Biology". Best wishes to Eleftheria in pursuing her career aspirations.

  • By Gerry Apr 2025

    April 2025

    We thank the organizing committee of the 20th Hellenic Symposium on Medicinal Chemistry for inviting us to present our work. https://helmedchem2025.gr/

    Studies towards a novel enantioselective synthesis of sitagliptin (PhD candidate Ioanna Zgouleta)
    Development of pyrimidine-based dengue antivirals (MSc student Konstantina Katsigianni)
    Dual acting 5HT6 antagonists/HDAC6 inhibitors for CNS disorders (Gerry Rassias)

  • Congratulations to Maria Katsoulieri and Xenios Georgiou for successfully defending their BSc and MSc thesis respectively. BSc graduate Maria will be joining our Interdepartmental MSc program “Medicinal Chemistry and Chemical Biology” whereas Xenios a graduate of the latter program has been recruited by a pharmaceutical company in Cyprus. Best wishes to both in pursuing their academic and professional aspirations.

  • Happy new year to the Rassias Group with health and success. We welcome the MSc Pharmacy student Antonio Filipe Fidelis Ribeiro from the University of Lisbon to our group in the context of a three-month Erasmus placement.

  • Congratulations to Stefania Voutira and Georgia Kalyva for graduating from our MSc program "Medicinal Chemistry and Chemical Biology". We wish them all the best with their new jobs in the pharmaceutical sector.

  • Congratulations to Stathis Vasilakis, Maria Mpourlouka, Spyros Dionisatos and Ioannis Tolis for successfully presenting their undergraduate research projects and obtaining their degree in Chemistry. Best wishes for commencing their studies in our MSc program "Medicinal Chemistry and Chemical Biology".

  • Congratulations to Vasiliki Zogali for successfully defending her PhD thesis and her excellent work on dengue antivirals.

  • Congratulations to Maria Koutiva for graduating from our MSc program "Medicinal Chemistry and Chemical Biology". We wish her all the best with her PhD at Technische Universität Braunschweig in the Teskey Research Group.

  • Congradulations to Nick Michael Karadimas of our group for being awarded the First Prize for Distinguished Academic Performance (2023) in our Interdepartmental MSc Program "Medicinal Chemistry and Chemical Biology"

  • Congatulations to Panagiotis Aggelopoulos, Xrysa Giannikopoulou, Konstantina Kasigianni, Anastasia Mosxopoulou, Aggelos Mpitzekou, for graduating with BSc Chemistry (Hons). Gratifyingly, they will remain members of our group, this time as MSc students conducting their research project in our labs, as they have all been accepted in our Interdepartmental MSc Program "Medicinal Chemistry and Chemical Biology".

  • Gerry would like to thank the Institute of Chemical Biology at the National Hellenic Research Foundation for the invitation present our work on the "Advances in Drug Discovery for Dengue antivirals" in the "Chemical Biology Workshop: Drug & Biomarker Discovery", the warm reception and hospitality in Athens, 23-25 November 2023.

  • Gerry would like to thank the Department of Chemistry of the National Kapodistrian University of Athens for the invitation present our work on the "Design and synthesis of novel potent, cell-active Dengue antivirals" the warm reception and hospitality in Athens, 22 November 2023.

  • Congratulations to Ioanna Zgouleta for winning the Best Poster Award in the ACC2023 Conference, Thessaloniki, 12-15 November 2023. The poster Ioanna presented, described our work towards a new scalable synthesis of the marketed drug tazobactam, a bacterial β-lactamase inhibitor.

    Gerry would like to thank the Organizing Committee of ACC2023 for the invitation to be among the speakers in the "Organic Synthesis of Bioactive Molecules and Natural Products" session and present our work on "Expanding the scope of the Heck reaction to allylamines: Synthesis of abamine, naftifine and reboxetine" in Thessaloniki, 12-15 November 2023.

  • Well done to all participating Chemical Societies for a pleasant and constructive Chemistry Europe meeting in Antwerp

  • Congratulations to all undergraduate students of our group for successfully presenting their final year research projects
    • Konstantina Katsigianni (Dengue antivirals)
    • Angelo Mpitzekou (antimalarials)
    • Panayiotis Aggelopoulos (FR-190997 analogues)
    • Xrysa Giannikopoulou (HDAc6 inhibitors)
    • Anastasia Moschopoulou (Aymmetric organocatalysis)

  • Congratulations to Spiros Ferikoglou for successfully defending his MSc research work titled "Design and synthesis of multimodal molecules based on the inhibition of GSK3α/β kinases for the treatment of Central Nervous System disorders" with External Examiners Professor G. Vasilikogiannakis, Dept. of Chemistry, Univ. of Crete and Associate Professor G. Vougioukalakis, Dept. of Chemistry, National Kapodistrian University of Athens.

    Bravo Spyro!

  • Congratulations to Theodoros Takis for successfully defending his MSc research work titled "Design, synthesis and biological evaluation of novel inhibitors of the Dengue protease" with External Examiners Professor M. Stratakis, Dept. of Chemistry, Univ. of Crete and Assistant Professor C. Stathakis, Dept. of Chemistry, Aristotelian University of Thessaloniki.

    Well done Thodori!

Contact

Get in Touch


Dr. Gerry Rassias, Associate Professor of Organic Chemistry